
Concevoir un système de production d’énergie solaire ne consiste pas seulement à rassembler des composants ; il s’agit de créer une configuration équilibrée et efficace qui répond à vos besoins énergétiques spécifiques. Ce guide vous guide à travers les étapes clés, garantissant que vous avez une compréhension complète de chaque aspect.
1. Sélection des composants du système solaire photovoltaïque
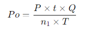
Calcul de la puissance du panneau solaire :
L’énergie générée par les panneaux solaires constitue l’épine dorsale de votre système. Pour vous assurer de produire suffisamment d’électricité, vous devez calculer la puissance requise des panneaux solaires (Po). La formule de ce calcul est la suivante :

Où :
P (Puissance de charge) : La consommation électrique totale de tous les appareils connectés (en watts). Cela inclut les appareils tels que les lumières, les réfrigérateurs et les climatiseurs.
t (Durée d'utilisation) : combien de temps ces appareils fonctionnent quotidiennement (en heures).
n1 (Efficacité) : Efficacité de conversion du système, généralement autour de 85 %. Cela représente les pertes d'énergie lors de la conversion du courant continu en courant alternatif.
T (heures d'ensoleillement) : nombre moyen d'heures d'ensoleillement maximal dans votre emplacement. Ceci est crucial car cela varie considérablement selon la géographie.
Q (Facteur météorologique) : Un facteur prenant en compte les conditions météorologiques moins qu'idéales, comme les jours nuageux ou pluvieux. Il se situe généralement entre 1,2 et 2, selon le climat.
Pourquoi c'est important : Un calcul précis de la puissance des panneaux solaires est crucial. Une sous-estimation peut conduire à une production d’électricité insuffisante, tandis qu’une surestimation peut augmenter inutilement les coûts. Dans les régions aux conditions météorologiques imprévisibles, le choix d'une valeur Q plus élevée garantit la fiabilité.
Exemple : si vous êtes à Guangzhou, en Chine, que votre charge quotidienne est de 5 kW avec 4 heures de fonctionnement et que vous choisissez un facteur Q de 1,5, vous aurez besoin d'environ 9 437 W de panneaux solaires pour assurer une production d'énergie constante.
2. Calcul de la capacité de la batterie
La batterie est le cœur de votre système solaire, stockant l’énergie pour l’utiliser lorsque le soleil ne brille pas. Le calcul de la capacité correcte de la batterie (C) implique :

Où :
C (Capacité) : La capacité requise de la batterie en ampères-heures (Ah).
V (Tension) : La tension du système, souvent 12 V, 24 V ou 48 V, selon votre configuration.
K (coefficient de décharge) : reflète la profondeur de décharge, l'efficacité de la batterie et les facteurs environnementaux. Généralement compris entre 0,4 et 0,7. Des valeurs plus élevées signifient des décharges plus profondes et des batteries plus petites, mais au détriment de la durée de vie de la batterie.
Aperçu clé : Le choix de la capacité de la batterie est un équilibre entre coût et fiabilité. Même si les batteries plus grosses offrent davantage de secours en cas de mauvais temps, elles augmentent le coût du système. Il est important de trouver un juste milieu en fonction de vos besoins spécifiques et de votre budget.
Exemple : pour un système avec une charge de 5 kW et un seul jour de temps nuageux, vous pouvez calculer un besoin d'une capacité de batterie d'environ 200 Ah à 48 V, en supposant un coefficient de décharge de 0,5 et un rendement de l'onduleur de 0,9.
3. Sélection du contrôleur de charge solaire
Le contrôleur de charge solaire régule la tension et le courant des panneaux solaires vers les batteries, évitant ainsi la surcharge. Pour sélectionner le bon contrôleur :

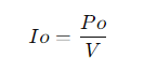
Où :
Io (Courant du contrôleur) : Le courant nominal requis pour le contrôleur (en ampères).
V (Tension) : La tension du système, correspondant à la tension de la batterie.
Considération importante : dans les régions à haute altitude, l’intensité de la lumière solaire peut être plus élevée, dépassant potentiellement la capacité du contrôleur. Dans de tels cas, il est sage de sélectionner un contrôleur avec un courant nominal plus élevé pour garantir une durabilité à long terme.
Conseil d'intégration : les systèmes modernes combinent souvent le contrôleur de charge avec l'onduleur, simplifiant ainsi le processus d'installation. Cependant, assurez-vous que l’unité combinée répond à tous vos besoins en énergie.
4. Sélection de l'onduleur
L'onduleur convertit le courant continu des panneaux solaires ou des batteries en courant alternatif pour les appareils électroménagers. La bonne sélection de l'onduleur (Pn) implique :

Où :
Pn (Inverter Capacité) : La capacité de l’onduleur en VA.
CosX (facteur de puissance) : généralement autour de 0,8, reflétant l'efficacité de la conversion du courant alternatif.
Q (Marge de sécurité) : facteur permettant de prendre en compte les surtensions au démarrage, en particulier avec les charges inductives telles que les moteurs et les compresseurs. C'est généralement entre 1,1 et 1,3.
Pourquoi c'est crucial : Choisir un onduleur avec une capacité insuffisante peut entraîner des pannes du système, en particulier lorsqu'il s'agit de charges inductives telles que des climatiseurs ou des pompes. Tenez toujours compte d’une marge de sécurité pour s’adapter à ces surtensions.
Exemple : pour un climatiseur de 1,3 kW, en prenant en compte une surtension 3x pour la charge inductive et une marge de sécurité de 1,1, la capacité requise de l'onduleur serait d'environ 5,36 kW.
5. Configuration du système
En réunissant tous ces calculs, vous pouvez configurer un système qui répond à vos besoins spécifiques.
Exemple de configuration :
Localisation : Abuja, avec une moyenne de 5,45 heures d'ensoleillement par jour.
Puissance totale de charge : 1965 W, y compris une charge inductive (climatiseur).
Stockage d'énergie : 15 635 Wh, suffisant pour au moins une journée de sauvegarde.
Type de système : Hors réseau, sans dépendance à l’égard de sources d’énergie externes comme un générateur ou le réseau.
Type de batterie : Lithium-ion, préférée pour sa longue durée de vie et ses capacités de décharge profonde.
Aperçu pratique : cette configuration est idéale pour les endroits avec un ensoleillement constant et une infrastructure minimale, garantissant une alimentation électrique fiable même pendant les périodes nuageuses.

6. Schéma de câblage du système
La dernière étape consiste à créer un schéma de câblage détaillé. Cela doit montrer clairement les connexions entre les panneaux solaires, les batteries, l'onduleur, le contrôleur de charge et les charges. Un schéma de câblage bien dessiné est essentiel à la fois pour l'installation et la maintenance du système, garantissant que tous les composants sont correctement connectés et protégés.
Pourquoi c'est important : Un schéma de câblage clair minimise les erreurs d'installation qui peuvent entraîner des inefficacités du système, voire des pannes. Il constitue également une référence précieuse pour le dépannage et les mises à niveau futures.
Que vous ayez besoin d'un design pour une application résidentielle, commerciale ou industrielle, contactez-nous au www.suness.com et nous pouvons vous aider à concevoir votre système de stockage d'énergie gratuitement !